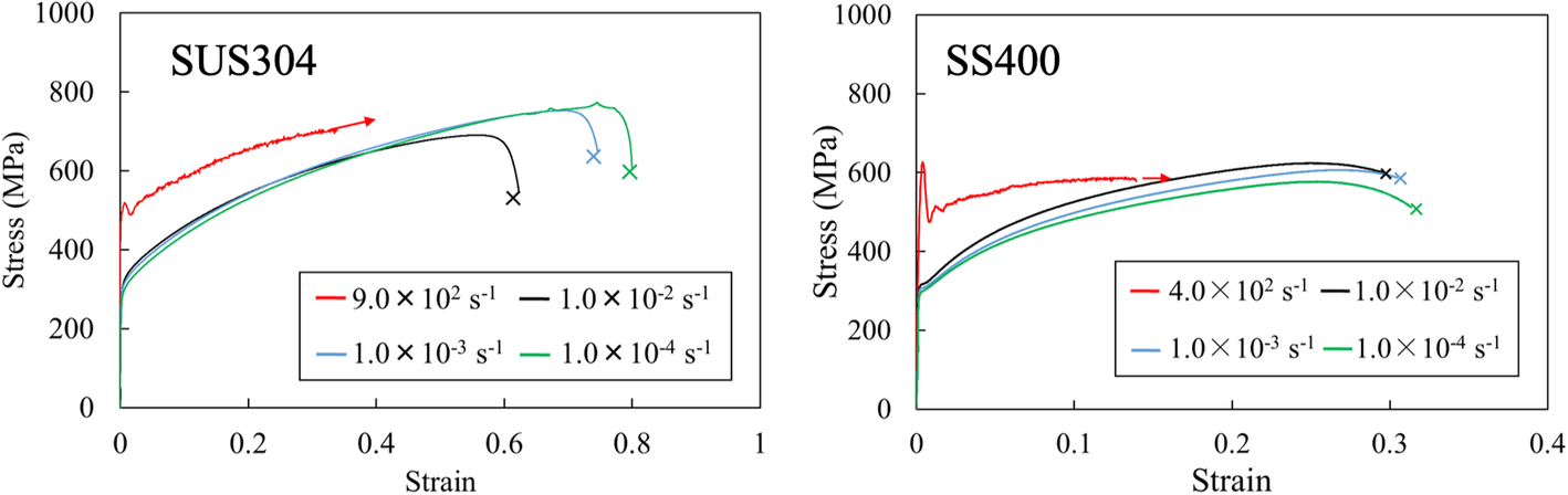
Fig. 3

Nominal stress-strain relationship for SUS304 (Fukui et al. 2017) and SS400 (Yamada et al. 2016). Strain rate from 10−4 to 10−2 s−1 was obtained from quasi-static test; strain rate of 102 s−1 was obtained from high-strain-rate test. Due to the limited capacity of the testing apparatus, the impact test could not be carried out until fracture. Therefore, the curves end with arrows in the figure